[登录] [免费注册]
化工原料网
位置:首页 > 原料、中间体、气体 > 塑料助剂
光稳定剂944
光稳定剂944图片
等级规格:分子量2000~3000
包装:25KG/纸板桶内衬塑袋
CAS NO:71878-19-8
分子式:(C35H68N8)n
分子量:>2000


产品名称
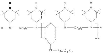
聚-{[6-[(1,1,3,3,-四甲基丁基)-胺基]1,3,5,-三嗪-2,4-二基][(2,2,6,6-四甲基哌啶基)-亚胺基]-1,6-己烷二基-[(2,2,6,6-四甲基哌啶基)-亚胺基]}
产品介绍

【产品规格】

 项  目 指  标
 外  观 白色或淡黄色粉末
 挥发分 %(m/m) ≤0.5
 软化点 ℃ ≥100
 灰 分 %(m/m) ≤0.5
 分 子 量 2000~3000
 透光率,% ≥90(425nm)
 ≥95(500nm)

特性和用途:
    光稳定剂944为受阻胺类高分子量光稳定剂,因其分子中有多种官能团,故光稳定性能高。由于分子量大,该产品具有很好的耐热性、耐抽提性、更低的挥发性和迁移性以及良好的树脂相容性。
    光稳定剂944主要适用在低密度聚乙烯薄膜、聚丙烯纤维、聚丙烯胶带、EVA薄膜、ABS、聚苯乙烯及食品包装等方面。
贮存和包装:
    光稳定剂944采用25KG纸板桶内衬塑袋包装。密封干燥避光条件下储藏保存。

用户评论
产品评分
目前评分共0人
产品质量
售后服务
易用性
性价比
产品评论
已有0条评论
可以输入500字 
暂无评论!
南京米兰化工有限公司
地址: 江苏省南京市溧水洪蓝工业园
相关产品:
猜您感兴趣
换一批
传热胶泥
荷兰帝斯曼利康固体丙烯酸树脂B885
碘化钾
无水硫酸镁
2-氨基-6-氯吡嗪
来访登记
关闭
请留下您的联系方式,登记完成即可查看电话与供应商联系,或等候供应商联系您。
留言类型:
     
*姓名:
*电话:
*单位:
Email:
*留言内容:
请说明需求数量,型号规格以及纯度含量等要求。
*验证码:
 
×

*留言类型

*留言内容

*联系人

*手机号

*单位名称

电子邮箱

*验证码